5  Competing Risks

When the diagnostic engine detects multiple event types, the pipeline routes to the competing risks module. This chapter explains when to use cumulative incidence functions (CIF) versus cause-specific versus subdistribution (Fine-Gray) models, and how the scripts implement each.

5.1 When Competing Risks Matter

Note

If a patient can die from cancer or from cardiovascular disease, treating cardiovascular death as “censored” in a cancer-specific KM analysis overestimates the probability of cancer death. Competing risks methods handle this correctly.

5.2 Three Approaches Compared

Approach Estimates Interpretation Use When
Cumulative Incidence (CIF) Probability of event k by time t Accounts for all competing events Descriptive / prognostic
Cause-specific Cox Hazard of event k among those still at risk Rate of occurrence Aetiological questions
Fine-Gray Subdistribution hazard Effect on CIF directly Prognostic / prediction models
TipRule of Thumb

Use cause-specific hazards for understanding aetiology (what causes the event). Use Fine-Gray for prediction (what is the cumulative probability). Report both when possible1.

5.3 Script Pipeline

Script Purpose
01_cif_estimation.R Non-parametric CIF with cmprsk::cuminc
02_cause_specific_cox.R Cause-specific Cox for each event type
03_fine_gray.R Fine-Gray subdistribution hazard model
04_comparison_plot.R Side-by-side CIF and cause-specific curves
05_sensitivity.R Sensitivity to event-type classification

5.4 CIF Estimation

library(cmprsk)

cif <- cuminc(ftime = df$time, fstatus = df$event_type, group = df$group)
plot(cif, xlab = "Time (months)", ylab = "Cumulative incidence")

5.5 Fine-Gray Model

library(cmprsk)

fg <- crr(
  ftime = df$time,
  fstatus = df$event_type,
  cov1 = model.matrix(~ group + age + stage, data = df)[, -1],
  failcode = 1
)
summary(fg)

The subdistribution hazard ratio from Fine-Gray answers: “What is the effect of the covariate on the cumulative probability of the event, accounting for the fact that some patients will experience the competing event first?”

5.6 Running the Module

make analyze-competing PROJECT=my-study

All five scripts execute sequentially, with results written to projects/my-study/03_analysis/.

5.7 Demo: Competing Risks (Scenario 2)

N=600, AML-like data with 3 event types (relapse, death in remission, death with disease).

5.7.1 Cumulative Incidence Functions

Figure 5.1: CIF curves by event type and treatment arm

Gray’s test detected significant differences between treatment arms for two of the three event types:

Event Type Test Statistic p-value
1 (Relapse) 8.815 0.003
2 (Death in remission) 2.250 0.134
3 (Death with disease) 5.277 0.022

5.7.2 1-KM vs CIF Comparison

Figure 5.2: Comparison showing CIF divergence from 1-KM

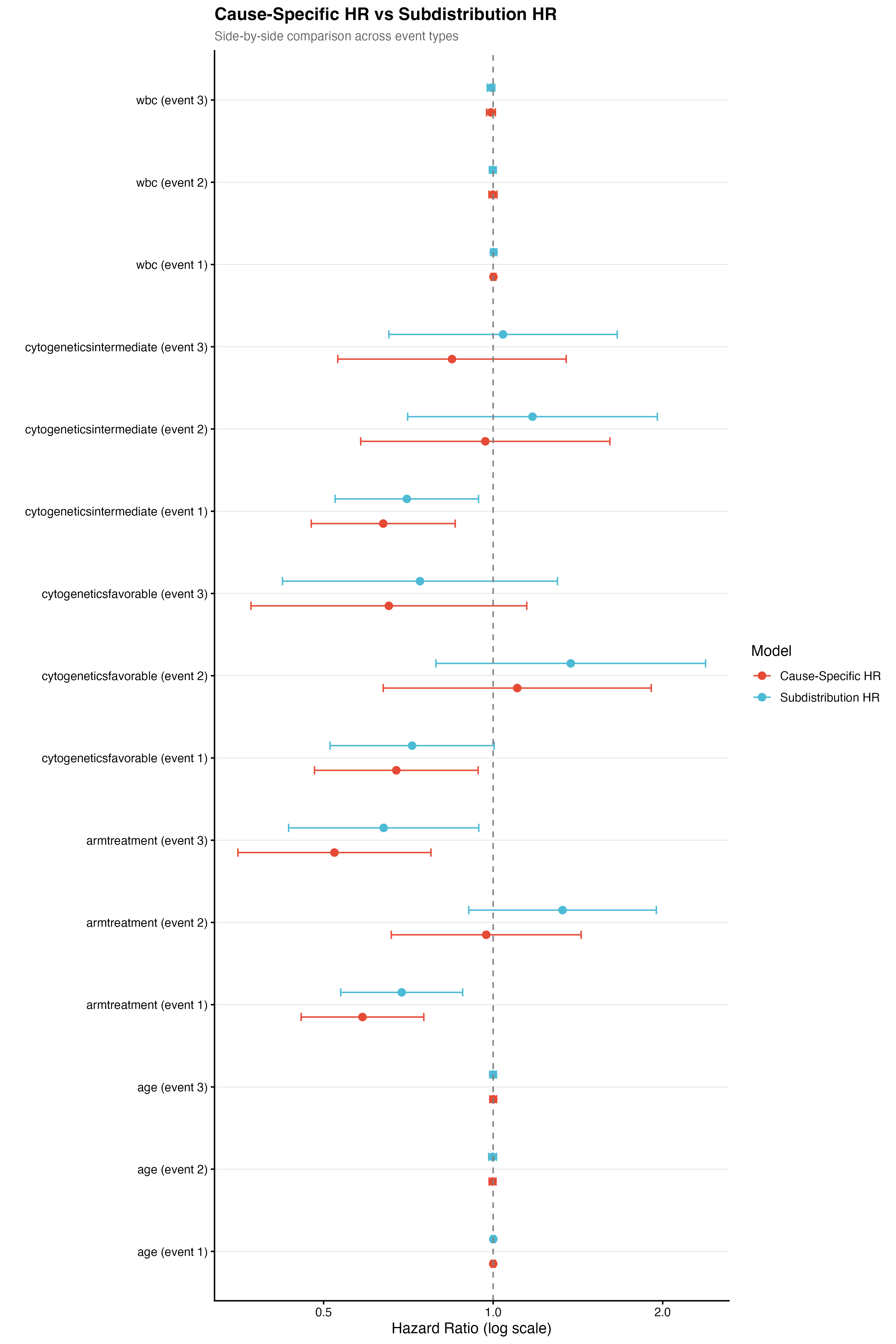
5.7.3 Cause-Specific vs Subdistribution HR

Figure 5.3: Forest plot comparing cause-specific and Fine-Gray HRs

The two modelling approaches yield meaningfully different estimates, particularly for the treatment effect:

Event Type SHR (Fine-Gray) 95% CI csHR (Cause-Specific) 95% CI
1 (Relapse) 0.688 0.536–0.883 0.586 0.456–0.753
2 (Death in remission) 1.328 0.905–1.949 0.972 0.659–1.433
3 (Death with disease) 0.639 0.433–0.943 0.523 0.352–0.776

For event type 2 (death in remission), the subdistribution HR (1.33) and cause-specific HR (0.97) diverge substantially — the Fine-Gray model suggests treatment increases the cumulative incidence of death in remission because it keeps patients alive longer (reducing the competing event of relapse), even though the cause-specific rate is unchanged.

Important

The 1-KM estimator overestimates the event probability in the presence of competing risks. Always use CIF when competing events exist.

1.
Fine JP, Gray RJ. A proportional hazards model for the subdistribution of a competing risk. Journal of the American Statistical Association. 1999;94(446):496-509.